山东化友水处理技术有限公
Shandong Huayou Water Treatment  Technology Co., Ltd.

                                                                                                                                                                                 首页 >> 产品分类

氨基三甲叉膦酸(ATMP)
    发布时间: 2020-09-23 14:46    
氨基三甲叉膦酸(ATMP)

别名:氨基三亚甲基膦酸                CAS No. 6419-19-8 
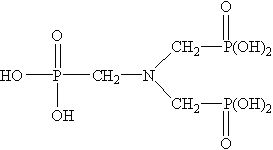
分子式:N(CH2PO3H2)3                   相对分子质量:299.05 
结构式 :

ATMP|ATMPA|氨基三甲叉膦酸|氨基三亚甲基膦酸 ATMP|缓蚀剂|阻垢缓蚀剂|化友水处理|0531-88686116

一、产品性能

        ATMP在200℃下有优良的阻垢作用,低毒,热稳定性好,能同铁、铜、铝、锌等多种金属离子形成稳定络合物,对碳酸盐防垢效果尤佳,在40ppm时有良好的缓蚀作用。
ATMP固体为结晶性粉末,易溶于水,易吸潮,易于运输和使用,尤其适用于冬季严寒地区。由于纯度较高,可用作纺织印染行业的金属螯合剂及金属表面处理剂。
二、质量指标

       ATMP|ATMPA|氨基三甲叉膦酸|氨基三亚甲基膦酸 ATMP|缓蚀剂|阻垢缓蚀剂|化友水处理|0531-88686116

三、用途

      循环冷却水系统,锅炉和输水管线的防垢;也可作为硬度大,矿化度高,水质条件恶劣的油管线的阻垢剂;还可做无氰电镀的络合剂,金属的清洗剂等。
四、使用方法

      本品做缓蚀阻垢剂使用时,须同其它分散剂复合;用量根据水中总钙度大小决定,一般剂量为10~30ppm。
五、包装与贮存

      ATMP液体用塑料桶包装,每桶30kg或250kg;ATMP固体用内衬聚乙烯袋的塑料编织袋包装,每袋净重25kg,也可根据用户需要确定。贮于室内阴凉通风处,防潮、严防曝晒,贮存期十二个月。
六、安全防护

        ATMP为酸性,应避免与眼睛、皮肤或衣服接触,一旦溅到身上,应立即用大量水冲洗。

有机膦酸系列缓蚀阻垢剂

---------------------------------------

有机膦酸盐系列缓蚀阻垢剂​​

---------------------------------------

聚羧酸类及磺酸盐系列

---------------------------------------

杀菌灭藻剂系列

---------------------------------------

反渗透专用阻垢分散剂系列

---------------------------------------

复合专用缓蚀阻垢剂系列

---------------------------------------

絮凝剂系列

---------------------------------------

化化学助剂

----------------------------------------